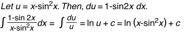
[q2ql3.png]